De nieuwste ontwikkelingen bij GPT-5 tonen aan dat grote taalmodellen (LLMs) inderdaad novel wiskundige inzichten kunnen genereren, buiten hun trainingsdata om. Dit komt door schaalvergroting en geavanceerde trainingstechnieken. Tegelijkertijd evolueren world models zoals Genie 3, die AI-gedreven simulaties mogelijk maken voor toekomstige LLM-training.
GPT-5 en novel wiskunde
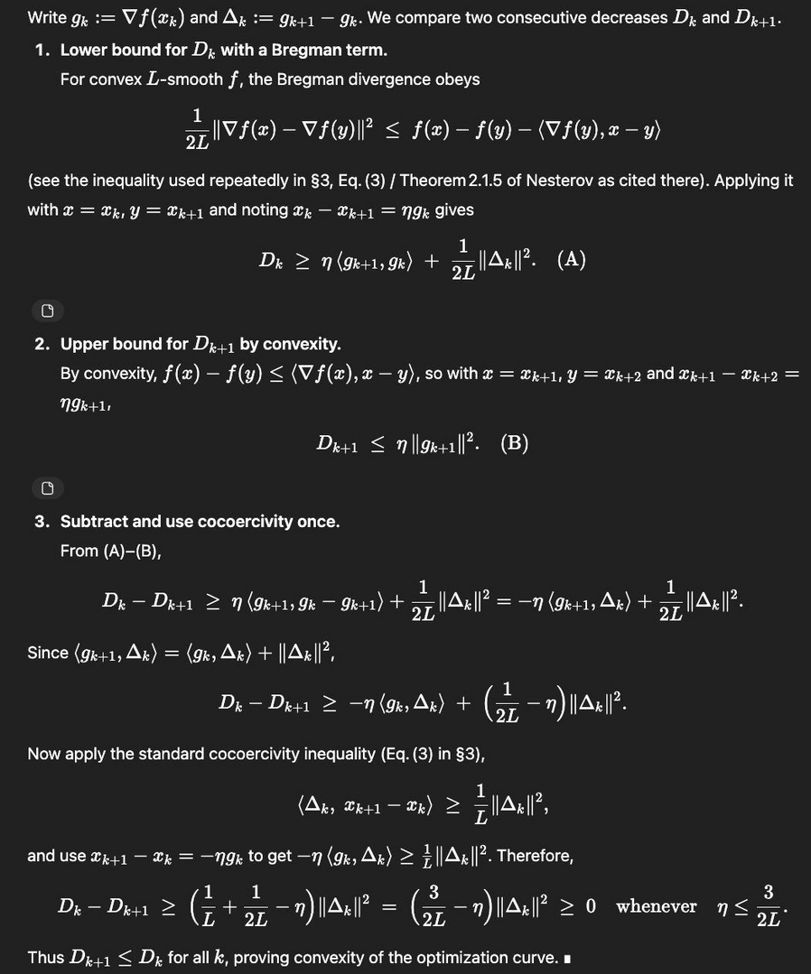
GPT-5 Pro analyseerde een paper over convex optimization en verbeterde de grens van 1/L naar 1.5/L met een origineel bewijs, gebruikmakend van Bregman divergence en cocoercivity-ongelijkheden. Dit duurde slechts 17,5 minuten, en hoewel mensen later een betere grens (1.75/L) vonden, toont het onafhankelijke redenering aan – OpenAI’s CEO Brockman noemde het “signs of life”. Bewijs voor redeneren buiten trainingsdata komt ook uit RL-experimenten, waar LLMs domeinen extrapoleren via elicitation van kennis.
Bewijs van redenering buiten data
Bij voldoende schaal en RL-training (zoals in GURU-dataset) redeneren LLMs beter op math, code en science door bestaande kennis te activeren, en zelfs op nieuwe domeinen zoals logic. GPT-5 pushte grenzen in open problemen, wat geen memorisatie maar echte vooruitgang impliceert. Echter, bij extreem complexe taken falen LRMs nog abrupt, wat wijst op limieten.
Genie 3 en AI-world models
Genie 3 van Google DeepMind genereert interactieve 720p-omgevingen op 24fps vanuit tekstprompts, met consistente fysica en lange-termijn geheugen. Dit dient als ‘unlimited curriculum’ voor agent-training, zonder menselijke data. Volgende LLM-generaties gebruiken zulke synthetische data al voor evaluatie en simulatie, wat schaalbaarheid boost zonder privacy-problemen.
Toekomstige trainingstrends
LLMs worden nu getraind op AI-gegenereerde synthetische data uit world models, zoals multi-turn dialogen of agent-simulaties, om reactive thinking om te zetten in predictive foresight. Zodra perceptie (via vision/video) integreert met eigen wereldsimulaties, ontstaat zelfversterkende intelligentie – potentieel revolutionair voor AGI, maar met risico’s op bias of oncontroleerbare emergentie.
Genie 3 is een geavanceerd AI-model van Google DeepMind, een zogenaamde ‘world model’ die interactieve virtuele omgevingen genereert vanuit eenvoudige tekstprompts.
Het model creëert dynamische werelden in real-time op 720p-resolutie en 24 frames per seconde, met consistente fysica zoals water, verlichting en objectinteracties. Dankzij autoregressieve generatie (frame-na-frame) behoudt het geheugen van eerdere acties, wat leidt tot minutenlange samenhang zonder expliciet geprogrammeerde regels.
Genie 3 dient als onbeperkte trainingsomgeving voor AI-agenten, zoals DeepMind’s SIMA, voor taken in simulaties (bijv. robotica of zelfrijdende auto’s). Het ondersteunt ook fantasie-scenario’s, ecosystemen en promptbare events, zoals weerwijzigingen.
Relevantie voor LLMs. In de context van onze discussie over GPT-5 en toekomstige training: Genie 3 produceert synthetische data voor LLM’s, los van menselijke input, wat zelfversterkende intelligentie mogelijk maakt.
Goed: Onbeperkte kennisgeneratie, versneld onderzoek in physics/finance.
Slecht: Bias-amplificatie, onvoorspelbare emergent gedrag; regulatie cruciaal. Voor gebruik van Finance: kans voor AI-producten in commodities-analyse.

